1. <form id="LNuK"><del></del></form>

      1. <table></table>
      2. 欢迎来到温州钢氟强防腐设备有限公司官方网站!

        销售热线:0577-88362666

        百度:18968937950 周一至周五 上午08:00-11:30 下午13:00-17:00

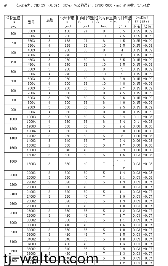
        F4+橡胶复合补偿器

        发布日期:[2019-01-11] 点击率:

        橡胶复合补偿器也称为橡胶膨胀节、橡胶软接头、橡胶软连接,采用橡胶材质,具有密封性好,承压大等特点。

        橡胶复合补偿器分为FDZ、FVB、FUB、XB四种型号,由橡胶复合材料、钢制法兰、保温隔热材料组成,其功能是减震、降噪、密封、耐介质、便于位移和安装。



        查看厂家热门产品:衬氟补偿器

        OlzSd

        1. <form id="LNuK"><del></del></form>

          1. <table></table>